Beyond the Soul’s Meridian, November 29, 2017
We are lost as an individual, community, nation, and world if we fail to recognize that all of us gave our consent to be here on this planet at this moment in time. Furthermore, we agreed to the circumstances of our individual life. In most instances, this was not a decision that our Ego could have made on its own, but one that was guided by the higher principles and wisdom of what some have come to know as their spiritual over-soul.
Therefore, our life has meaning. There are tasks at hand, and goals that we must accomplish through the experience of living life as we intended to do before we were born. In most instances, everything that we need to accomplish these goals has been provided for us. All one really has to do is study their astrology to know this. Unfortunately, there may be instances through egotistically driven circumstances where a person’s astrology has been adulterated stifling the human potential before one can even begin to live their life. In some instances, this could be a contributing factor to the rampant escalation of neuro-psychiatric illness in our children (See Autism, Beyond the Soul’s Meridian, June 8, 2016). It remains essential for all of us to allow our life to flow as naturally as possible, respecting if not revering the spiritual factors that are there to help guide us along on this journey—for an evolved soul is one who lives in sympathy to these higher natural principles.
We now find ourselves living in a world within a state of antipathy to the natural processes that higher spiritual elements have aligned. For most of us, we still believe that these arrangements are not optimal for our egotistically determined wants and needs. In many instances, we feel that we have been placed at a disadvantage through chaotic circumstances as they seem to be beyond our control. This feeling of disempowerment is simply because we are habitually viewing life through Ego which is centered upon the physical plane of existence and our capacities to understand it through our extrapolated logic and reason. Yet, in our (more or less) spiritless society, we cannot see the potential of faith, nor can we sense how much we are actually loved, or how important each individual’s ordained task is in accomplishing not only our individuated spiritual growth—but how essential this individualized process contributes our world’s collective transformation into an ascension of consciousness and therefore into an ennobled state of life.
This lack of insight does not stop most of us from trying to single-handedly reconstruct the world to help benefit our personal wants and needs. On this planet of over seven billion human souls we are living our lives in isolation imprisoned by egotistically derived wants and desires which keep us divided and easily manipulated within a narrowed confinement controlled by a small number of beings who have attained a critical mass of power and influence. These small groups of individuals at the top of this hierarchy help to perpetuate this spiritually blinded and egotistically driven world of artificially engineered impulses and desires. We are given a sense of freedom that our Ego accepts and within this illusionary paradigm, as long as we do not overstep its boundaries, we are free to attempt to control it.
What remains essential to understand is that this form of hierarchical control can only be done through our cooperation and overwhelming consent. We give away freely this consent through our own fears, malaise, intellectual laziness, and spiritual impoverishment to a “higher” authority which we believe “knows better” and inherently has our best interests at heart. Since birth, we have been conditioned to relinquish our freedom and some believe that we have been intentionally designed or genetically manipulated to behave in this subservient fashion.
It is important to remember that those on the top of the pyramid are still enslaved to hierarchy and the overlords who govern them and the world of competition and strife that they are helping to perpetually sustain. As previously discussed all of this is egotistically driven. It should go without saying that life within this environment is not conducive to an optimal state of health and it appears that there is a concerted effort on the part of those promoting this state of competition and enslavement to keep us fearful and ill. This unfortunately bleeds over into our conventional medical practices and is overtly and repetitively promoted by our governing auspices.
Recently, new guidelines for blood pressure and hypertension have been set forth by the American Heart Association and the American College of Cardiologist (AHA/ACC) which has crossed the line of the foundational logic and reason of our own basic science. These guidelines are a flagrant violation of our scientific principles and can only be interpreted as intentionally manipulative and deceptive. Through a purely subjective decree these associations have now place 52% of our adult American population within the categorical parameters of hypertension, which most people have been conditioned to recognized as a disease. Therefore, by a simple decree, over half of the American adult population is now suffering from hypertension. Indeed, it doesn’t stop there because human blood pressure is a world wide constant, therefore 52% of the entire world’s adult human population now suffers from hypertension according to the AHA/ACC new guidelines.

For many people this is a frightening thought. In my own clinical experience, I find that just the simple act of telling someone they have an illness reflexively raises blood pressure as this taps into an extensive reservoir of fear that all of us are connected to. This fear is not only personal but collective as consciousness itself knows no boundaries. Ultimately, it is fear of death that is being used to coerce and steer the American public into believing that they are ill. This is an intentional ploy that the pharmaceutical companies use in part to increase revenues. Unfortunately, what most physicians still have not come to realizes is that by adopting these profit driven protocols, that they are unwittingly acting as agents for the industry’s bidding.
The AHA/ACC guidelines released on November 13, 2017 drastically changed what normal BP was until that moment. It should come to no surprise that virtually all major media outlets ran featured news articles within hours of AHA/ACC’s “dramatic” announcement proclaiming that over half of us are now suffering from hypertension. This constellation of events suggests that these actions were premeditated and that the same groups controlling the media are entangled within our prestigious medical organizations. The common denominator is more than just marketing and profits for the industry that now controls the medical profession and the media.
What supersedes profits is fear based manipulation needed to keep the individual marginally ill, fearful, and easily controlled. These activities have now become essential for enslaving hierarchy to continue, and one really must ask, “What are they hiding?” What world event is occurring that our attention is being distracted with a meaningless story about our “blood pressure?” There are at least a dozen reasons why our thoughts are diverted and anyone intelligent enough to see beyond the veil could probably add a dozen more.
The New “Normal”
How serious and relevant is all of this preoccupation to the “normal” values of human blood pressure? Well the AHA/CAA statements on the new guidelines to health care providers conveys to us:
“It is critical that health care providers follow the standards for accurate BP measurement. BP should be categorized as normal, elevated, or stages 1 or 2 hypertension to prevent and treat high BP. Normal BP is defined as <120/<80 mm Hg; elevated BP 120-129/<80 mm Hg; hypertension stage 1 is 130-139 or 80-89 mm Hg, and hypertension stage 2 is ≥140 or ≥90 mm Hg.” (1)
Furthermore, the essence of the new guidelines was conveyed to the general population through the major media outlets by interviews with physicians who were part of the AHA/ACC committee. Their job was to simply break it all down into a digestible level any third grader could understand:
“It’s very clear that lower is better,” said Dr. Paul Whelton of Tulane University, who chaired the committee that wrote the guidelines…Previously, people were not considered to have high blood pressure until the top reading hit 140. “Normal hasn’t changed. We are still saying that it is great and it is normal to have a systolic blood pressure reading below 120 and a diastolic reading under 80,” Whelton said.” (2)
This statement is simply political spin that is quite illogical and disingenuous. Indeed, for any person who is familiar with the science and function of human blood pressure, under the new guidelines, normal has dramatically changed. Yet, this rearranging of numbers is merely the reconfiguration of the industry’s standard and has virtually nothing to do with the science and function of blood pressure itself.
As Figure 1 demonstrates, the distribution of diastolic blood pressure is one of the best examples of a natural Bell shaped curve. This distribution is universally consistent and is historically used as an example of a natural Bell curve presented to students when introduced to statistical analysis. Although we are conditioned to believe that normal diastolic for an adult is 80 mm Hg, statistically, the mean, defined as the number at the center of the curve’s distribution, is around 84 mm Hg. There are many variances to the curve. For instance, slight variations are seen between males and females. There is also a bimodal distribution because pressure has a tendency to rise in the early to mid morning and again in the later evening until bedtime. (3) Pressure has a natural tendency to fall with sleep. Systolic pressure also has a natural tendency to rise with age while diastolic remains relatively stable. (4) Systolic pressure is also distributed along a Bell curve but is more skewed towards higher pressures, mainly because of age variation. (5, 6)
Although “normal” within a Bell curve distribution is usually considered within 2 standard deviations (SD) from the mean, most medical studies suggest that our body appears to operate best within 1 SD from the mean. Although this may not seem important, “normal” ranges for most scientific measurement are determined within the 2 standard deviations of the mean average.
“A common statistical measurement is called a 95% confidence interval, which is the range that includes 95% of the normal results. Another statistical test often used is to calculate the mean (the average) and the standard deviation of the mean. One standard deviation above and below the mean includes 65% of the values and 2 SDs encompass 95% of the values. Thus, values that deviate more than 2 SDs represent 2.5% that are unusually high or 2.5% that are unusually low. It is important to note that when the definition of the normal range is set as a 95% confidence interval, the 5% of the selected normal population outside the 95% will fall in the abnormal range, even though they were originally selected as being normal. This is one of the challenges with using statistical methods to define a normal range and must be remembered when evaluating a test result falling near either end of the normal range.
Using the measurement of height as an example, normal individuals can be just above or just below a normal range (or 95% confidence interval) and still be normal. Someone 1 inch taller than the 95% confidence interval is not necessarily a giant and someone 1 inch shorter is not necessarily a little person. In fact, by definition, 2.5% of normal individuals will be below the 95% confidence limit and 2.5% will be above.
The fact that 5% of otherwise normal healthy individuals will fall outside the normal range is important when looking at laboratory results—finding a value outside of the reference range does not automatically represent an abnormality. The clinical relevance of an abnormal laboratory finding must be based on the clinical history as well as the size of the difference from the normal range.” (7)
This observation is interesting because virtually everything else that we measure in medical science is considered within a normal reference based upon the range of 2 standard deviations from the mean. If this standard is applied to the definition of “hypertension” we would have to expand this range to a systolic pressure of approximately 180 and a diastolic of 102. This is clearly outside of the spectrum that most practioners would feel comfortable with, but in pre-adolescent children, hypertension is still defined as pressures that are > 2 SD for an age adjusted mean. Using 1 SD from the mean pressures places BP closer to the 140/90 but in actuality it would be higher than this limit.
Debates as to the normal ranges of blood pressure were common, and to date there is still no universal consensus. Using guidelines that were conservatively close to 1 SD from the mean seemed to be a reasonable, natural, and pragmatic approach in defining a “normal” operating range since BP is a dynamic measurement and can change from moment to moment.
At some point our understanding of normal ranges of blood pressures may be altered (slightly), when accurate assessments of BP will be obtained from non-intrusive instruments that can monitor pressure without a sphygmomanometer squeezing the arm. This should eliminate bias and the anxiety that many people have when their pressure is taken. The phenomenon of White Coat hypertension is very real, and I have witnessed many patients drive up their BP into undesirable ranges based upon an underlying fear of their own blood pressure which is invariably linked to the fear of their inevitable mortality. In part, it is like the fear of taking a test which in itself can cause blood pressures to elevate through sympathetic nervous discharges which are directly wired into our cardiovascular system.
Various new technologies now exist which are very accurate and non-intrusive. Unfortunately, they have not been approved for general use. My suspicion is that these new devices will marginalize the fear factor of blood pressure readings and we will discover that less people actually have hypertension. This may be another reason that “normal” was readjusted because as these newer technologies become available, they must have a positive impact on revenue streams for the medical industry or they will never become available to the public.
By rearranging the numbers, worldwide diastolic and systolic mean blood pressures are no longer optimal or even desirable. If we think about it for a moment, this is in violation to the collective intelligence of our own bodies. The AHA/ACC’s way of thinking is unnatural and disharmonious to the natural forces that have intentionally designed us—and/or to the environmental factors that have shaped our evolutionary path. As Darwin’s ideas of Natural Selection have conveyed, what we find in biological systems would not be there to any degree, unless it provides an advantage to survival. Our natural “average” is intentional because it is optimal for our own survival.
Readjusting “normal” is an egregious egotistical mistake on the part of the AHA/ACC, or it is intentionally malicious. There is no other way to interpret this.
Lower is Not Always Better
It is fair to state that there are those who will critically react to the thoughts that I have just expressed. After all, we appear to have other scientific studies to support the AHA/ACC guidelines in lowering standard thresholds for blood pressure therapy. Or do we? As I have stated, there are elements to these new guidelines that are disingenuous.
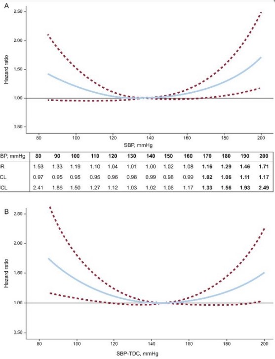
The new talking point-mantra that “Lower Is Better” is not true. Blood pressure can be too low, and there are reasons why our bodies fight like hell to keep it within a certain range. Low pressure is associated with just as many cardiovascular events as high blood pressure and there is an overwhelming body of scientific evidence which demonstrates this fact. The phenomenon is observed by the U curve representing adverse cardiovascular outcomes such as heart attacks and strokes, which is directly proportional to the BP Bell curves (again see Figure 1). (8) This suggests that our safe zone is about 1 standard deviation from an age adjusted mean. European studies have suggested that for people 65 years and older this zone occurs around 140/90, not 120/80. (9, 10) It is inconceivable that the members of the AHA/ACC are unaware of these well-known studies; therefore there is more to the new guidelines than a concern for public health.
There are also many studies looking at the safety of blood pressure lowering medications. Clearly, if a person is given enough of these substances, blood pressure will fall. But do they improve outcomes? In some instances, the answer is yes, especially if there are existing co-morbidities. But these substances also have side effects which must be weighed against the benefits of using them. The decision to use pressure lowering substances must be made on an individual basis and not from a universal protocol which only considers numbers.
In other instances, the safety of blood pressure medication is called into question. During the late 1980’s and throughout the 1990’s, studies demonstrated that the use of calcium channel blockers, while lowering blood pressure, increased heart disease and adverse cardiovascular events. (11, 12) While some in medicine believe that these apprehensions have been laid to rest, there is very little, if any, evidence to suggest that calcium channel blockers reduce morbidity and prolong life. They do lower blood pressure but may inhibit metabolic processes which contribute to illness.
Again, as previously mentioned, lowering blood pressure does not always translate into a healthier state of being. Tinkering with blood pressure, so that the numbers fall into “desirable” zones decreed and hyped by “experts” is nothing less than a recipe for catastrophe. It is undeniable that in many instances, blood pressure must be lowered through allopathic substances to reduce the immediate dangers of hypertension. These substances will usually play a role in longer term care, especially when diabetes, kidney disease, and heart failure become issues. Yet they should never take the place of what can be accomplished through the transformation of our own consciousness and therefore health.
Hypertension is a dynamic issue that is intimately connected to our state of consciousness. Once energetic shifts in consciousness occur, shifts in blood pressure inevitably follow.
Hypertension as a Disease
The concept of hypertension as a disease has been well established within our mindset. We are led to believe that it is a disease and that it must be controlled. Yet, the majority of people suffering from hypertension have no organic cause. It is estimated that 5-10% of all persons with hypertension actually have an identifiable illness that is causing it. This is usually related to kidney disease as the organs function in regulating blood pressure. That means that 90-95% are afflicted with what is called Essential hypertension. The running pun in medical school was that we call it Essential hypertension because we essentially have no idea what is causing it.
I find it most useful to no longer think about hypertension as a disease. Scientific research proves this point because as stated, in 90-95% of all instances, there is no organic reason for it. Even in the minority of cases when a kidney, neuro-metabolic, or vascular disease is identified, hypertension is invariably a symptom of an underlying cause.
The mistake of identifying a physical effect as cause for an illness is rampant within our materialistic approach to medicine. We are ill because our sugar is high, hormone levels are low, brain biochemistry is off, or blood pressure is elevated. In most instances these are effects but not the root cause of illness. So instead of simply trying to suppress numbers against the will and intelligence of what our body is attempting to do, we should search deeper into the underlying cause of these effects. What we will discover is that blood pressure is a general barometer to the ambient energetic chaos that exists within ourselves. To a significant degree this is directly related to our external environment and the choices that we make in life. Without addressing these underlying issues, all we are doing is placing a bandage over a wound that will never heal.
Elevated blood pressure does not cause illness as much as it is an effect of something far more insidious.
Healing through the Heart’s Intelligence
The foundation of our healing Art is still based upon Western esoteric healing principles. The essential elements of these principles are symbolized within the Hermetic sign of the Caduceus and the Staff of Aesculapius, which are still prominently featured within modern medicine. The basis of these symbols conveys to us that within the human being there are 4 major elements consisting of a physical body which is integrated with 3 additional energy bodies. These energy bodies are fully integrated within the physical body and appear as our energetic aura. When parts of these energies are withdrawn, we become unconscious. If all of these energies are withdrawn, death ensues. The energy bodies physically manifest through the
neurosensory system, the cardiovascular system, and the reticuloendothelial (lymphatic) system. Just as the brain functions as the center of intelligence to the neurosensory system, the heart and liver also act as centers of intelligence for the cardiovascular and reticuloendothelial systems. As described in esoteric science, the neurosensory system, which is also called the Ego body, is a catabolic system, and when over stimulation, will wreak havoc upon the physical body. Many afflictions that we are facing today are related to an over-taxed and over-stimulated Ego body.
The reticuloendothelial system is known as the Etheric body and is frequently referred to the Vital or Health body in esoteric science. This is an anabolic force that rebuilds and restores the physical body from the destructive catabolic forces from the Ego. This is generally happening during sleep cycles when Ego consciousness withdraws from the physical body. Lack of sleep therefore has a tremendous detrimental effect upon our overall state of health and should be considered as one of the many root causes of hypertension.
The cardiovascular system is also known as the Astral body with an intelligence-energetic center within the heart. (13) Modern science is finally beginning to understand the importance of this energetic center regarding health, but esoteric science, common sense, and ancient wisdom have known about this relationship since the beginning of time. Astral means star, and is a reference to the emotional energies within us that are determined by our Astrological signatures. It is understood that the Astral body acts to balance our anabolic and catabolic forces. How this is achieved is when our emotional body has reached a point of stillness and our energies become balanced. This can only be achieved through the guidance of our heart’s intelligence which is based upon sympathetic energies that we consciously experience as love. This cannot be over-emphasized, as the heart is the temple in which our spirit resides. And again, as stated many times before, we build this temple through deeds of love.
The positive effects of love upon the cardiovascular system are well known and documented. This love must not only be expressed to others but to our own self within a state of equilibrium.
As it is stated:
“Love your brother like your own soul, and guard him as you would the pupil of your own eye.” (14)
Living within these parameters ascends our level of consciousness and restores our state of health beyond any physical substance. Furthermore, studies are now demonstrating how our genes are directly influenced by our state of consciousness. These observations have led us to a new scientific understanding of what is referred to as Epigenetics. (See Beyond the Soul’s Meridian, Chapter VIII, pages 140-148)
Fear on the other hand becomes the greatest detriment to our health. It is an essential problem and is the root cause of virtually all of our modern afflictions when we allow Ego to flourish without the guiding interactions of our spiritually based heart-love consciousness.
With love as our guide we can survive the greatest of onslaughts and still maintain our health and sanity. Indeed, this was the secret initiation that knights would attempt to experience before going into battle, which was to experience love and grace through direct spiritual vision. This acquired knowledge negated the effects of fear and uncertainty, and through the wisdom and guidance of their hearts, made them invincible within a just cause.
Today, living through a modern-day existence and trying to bring a small measure of peace into it, is cause enough to seek out and obtain this initiation. Without this experiential understanding, our hearts are breaking, and we are being torn apart.
It is unsettling that the AHA/ACC have chosen to use fear as a tactic in enforcing the will of the profit driven medical industrial complex which appears to be controlling many of them. If they cannot see it as such, then it is a shameful mistake on the part of the physicians who are participating in this corporately sponsored Orwellian action in readjusting “normal” blood pressures.
Let us never forget that all of us are here for a reason. We are intentional beings living within marvelous if not miraculously designed bodies created by spiritual forces beyond our egotistical comprehension. What the AHA/ACC will never tell us is that our state of health is implicitly linked to our faith in the miracle of our life, the intelligence of our bodies, and the purpose of our creation.
Regardless of what we know or believe, “Primum non nocere.”
The Law of Karma binds us to the outcome of our thoughts, actions, and deeds.
References
2. NBC News, November 21, 2017, https://www.nbcnews.com/health/health-news/new-blood-pressure-guidelines-mean-yours-might-be-too-high-n820456
3. Clinical Cardiology7, 525-535, 1984, http://onlinelibrary.wiley.com/doi/10.1002/clc.4960071004/pdf

4. https://www.cdc.gov/nchs/data/nhsr/nhsr035.pdf
Systolic BP increases with age, diastolic remains relatively stable.

5. http://alertandoriented.com/does-bergen-norway-hold-the-key-to-the-mystery-of-hypertension/

6. WHO mean systolic BP in adults > 18 years age (126 male, 122 female) <http://apps.who.int/gho/data/view.main.12467GLOBAL?lang=en>
7. https://primaryimmune.org/about-primary-immunodeficiencies-diagnosis-information/laboratory-tests
8. https://www.ncbi.nlm.nih.gov/pmc/articles/PMC3490060/

“Randomized controlled trials of antihypertensive treatment provide strong evidence for J-shaped relationships between both DBP and SBP and main outcomes (all-cause mortality, CV mortality, nonfatal and fatal MI, HF, stroke) in the general population of hypertensive patients, as well as in high-risk populations, including patients with CAD, DM and LVH, as well as elderly subjects. Data are also available on a possible J-curve phenomenon in patients with chronic kidney disease.”
9. http://www.revespcardiol.org/en/association-between-blood-pressure-and/articulo/90202862/

Hypertension and mortality in the elderly in regards to time dependent covariant (TDC); “The SBP and DBP levels related to mortality vary according to the kind of analysis used. For the Cox regression analysis, the highest and significant levels of mortality were observed for individuals with baseline SBP>165mmHg and baseline DBP<60mmHg. These figures change when BP is used as a TDC for the analysis. The highest−and significant−level of mortality is observed for individuals with SBP<115mmHg or >193mmHg and DBP <80mmHg.
Clinical trials have shown clinical benefits in the elderly subjects who achieve SBP values averaging 140, 150, and 160mmHg, but no additional benefit from an intense BP-lowering strategy has been reported.”
10. http://blogs.bmj.com/heart/2010/11/09/hypertension-targets-in-the-elderly/ International Verapamil SR Trandolapril Study 22 576 patients
11. https://www.ncbi.nlm.nih.gov/pubmed/8376684
12. https://www.ncbi.nlm.nih.gov/pmc/articles/PMC1173517/
13. https://www.heartmath.org/articles-of-the-heart/the-math-of-heartmath/heart-intelligence/
14. Gospel of Thomas (25)